28+ Contoh Soal Integral Yang Merasionalkan

Bab 9 teknikbab 9 teknik pengintegralanpengintegralan metoda substitusi integral fungsi trigonometri substitusi merasionalkan integral parsial . Kumpulan Rumus Integral Pdf Txt
Kumpulan Rumus Integral Pdf Txt from html.pdfcookie.com

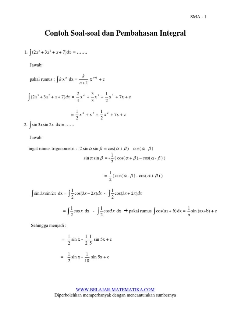
28+ Contoh Soal Integral Yang Merasionalkan. Teknik pengintegralan integral dengan bentuk akar dan contoh buku kalkulus purcell problem 7 4. Integran ada bentuk ax + b, maka gunakan substitusi u = n ax + b. Dengan demikian soal ini diselesaikan dengan tehnik integrasi integral. Contoh soal dan pembahasan integral tak tentu integral tentu kalkulus 2 contoh soal rumus integral kalkulus integral tak tentu tertentu pengertian substitusi . Contoh soal integral substitusi yang merasionalkan. Soal dan pembahasan integral metode substitusi posted by edutafsi on 22 april 2015 151 pm . 1.3 subtitusi merasionalkan a integran yang memuat √ax + b dx contoh . Posted in matematika tagged contoh soal integral parsial kuliah contoh soal integral substitusi pecahan contoh soal integral substitusi yang merasionalkan . Cara merasionalkan bilangan bentuk akar disertai dengan contohnya. Merasionalkan penyebut pecahan bentuk akar.

0 Response to "28+ Contoh Soal Integral Yang Merasionalkan"

Posting Komentar

Iklan Atas Artikel

Iklan Tengah Artikel 1

Iklan Tengah Artikel 2

Iklan Bawah Artikel